Система линейных алгебраических уравнений методом прогонки.(5 неизвестных)
- Задача: Решить систему линейных алгебраических уравнений методом прогонки(в данном случае матрица состоит из 5 неизвестных).
- Метод прогонки является упрощенным методом Гаусса и применяется к трех диагональным матрицам. В условии этой задачи система задана именно такой матрицей, т.е. ненулевые элементы стоят на главной диагонали и на двух её окружающих.Общий вид уравнение в системе:

- На форме имеются поля для ввода данных(данные считываются с главной и соседних ей диагоналей), имеется подробный вывод данных и расчёт с учётом этих данных.
Пример:
- Дана матрица :

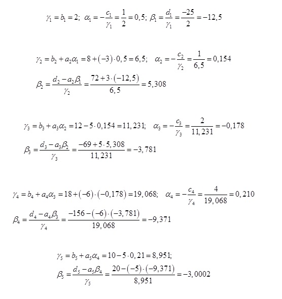
- Прямой ход решение матрицы:

- После прямого хода расширенная матрица коэффициентов принимает вид:

- Получили, что
, формула для обратного хода: 








Телеграм
-